随着人工智能、云计算等技术的迅猛发展,数据中心的能耗问题日益突出,尤其是以GPU、AI加速器为代表的“大芯片”负载,其供电电流需求呈指数级增长。在这一背景下,传统12V供电架构面临严重的母线损耗与配电效率瓶颈,48V供电架构因其在降低传输损耗、提升系统能效方面的显著优势,正逐步成为下一代数据中心电源系统的重要发展方向。

图1.数据中心48V供电架构
然而,48V架构对电压调节模块(VRM)提出了更高的电压变比要求,带来了开关损耗大、器件应力高、转换效率低等一系列技术难题。现有方案多采用多级转换架构,虽能实现电压适配,但系统复杂度高、效率受限,难以满足高密度、高效率的工程应用需求。近日,上海科技大学信息科学与技术学院智慧电气科学中心(CiPES)王浩宇教授课题组提出一种48V单级软开关电压调节模块(VRM)拓扑方案,有望突破传统多级转换的技术瓶颈,为48V数据中心供电架构提供一条高效、简洁的新型技术路径。

图2. 所提出的基于有源钳位的半桥倍流整流器
该方案基于半桥倍流整流电路(Current Doubler Rectifier, CDR),其结构在“高变比、大电流”应用场景中具有天然优势。然而,传统CDR架构在原边开关关断过程中易产生严重电压尖峰,导致器件应力升高、开关损耗增加,进而影响系统效率与可靠性。

图3.实验样机

图4. 48V输入时的关键波形

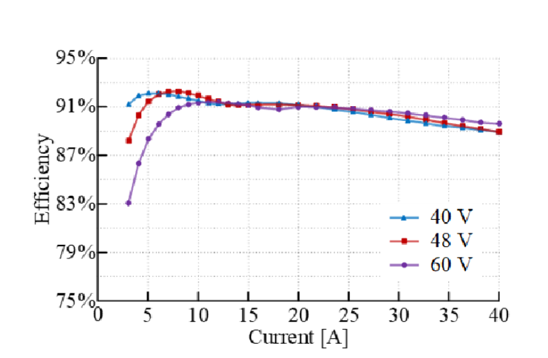
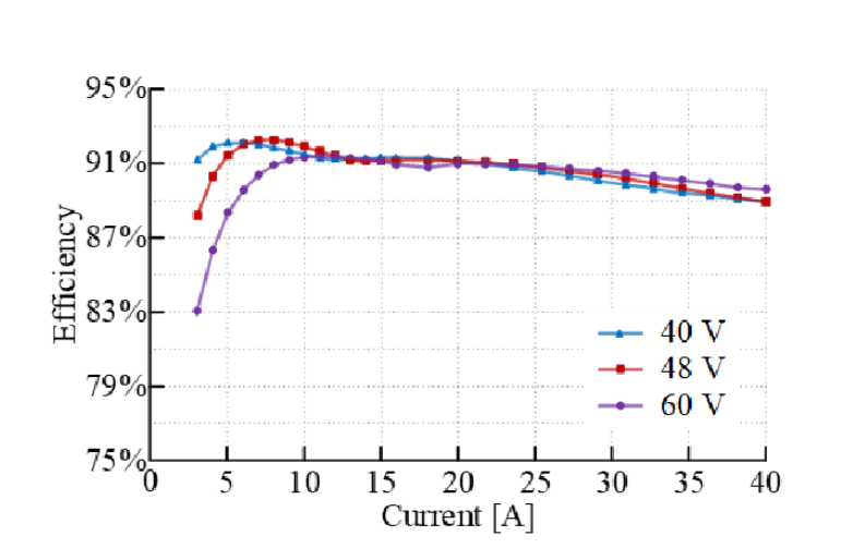
图5.效率曲线
针对这一关键问题,研究人员创新性地引入有源钳位技术,构建了一种具备零电流关断(ZCD)能力的软开关CDR拓扑。该设计有效抑制了开关过程中的电压尖峰,显著降低了开关损耗,并消除了传统方案中存在的占空比丢失与体二极管反向恢复环流问题。系统采用脉宽调制(PWM)实现输出电压调节,支持40V–60V宽范围输入电压,适用于不间断电源场景,实测峰值效率达到92.24%。
相关研究成果以“Active clamped half-bridge CDR converter for 48 V data center voltage regulator modules”为题,发表在IEEE Transactions on Industrial Electronics上。信息学院2023级博士研究生李泽晖为论文第一作者,王浩宇教授为通讯作者,上海科技大学为第一完成单位。
论文链接:
https://ieeexplore.ieee.org/document/11184387


沪公网安备 31011502006855号


