作为我国“碳达峰碳中和”战略布局和世界范围内温室气体“净零排放”(net-zero emissions)长远目标的重要支撑,储能技术的作用日益凸显。锂离子电池作为当前应用最为广泛的储能技术之一,在使用过程中不可避免地会发生老化和退化,导致其性能下降、安全风险升高。因此,精确估计并精准预测其健康状态(SOH)成为提高锂离子电池系统安全性和经济性的关键技术。同时,如何在锂离子电池退化的早期阶段精准预测其寿命,对于锂离子电池的研发及应用具有重要意义。然而,由于锂离子电池的老化和退化机制十分复杂,且在早期阶段缺乏明显的退化特征,目前的健康状态估计和早期寿命预测算法仍存在精度较低、泛化能力较差等问题。
近日,上海科技大学信息科学与技术学院智慧电气科学中心(CiPES)杨恒昭教授课题组(储能实验室)在锂离子电池超早期寿命预测领域取得了新进展。相关研究成果以上海科技大学为唯一完成单位发表于电源领域国际期刊 Journal of Power Sources 。
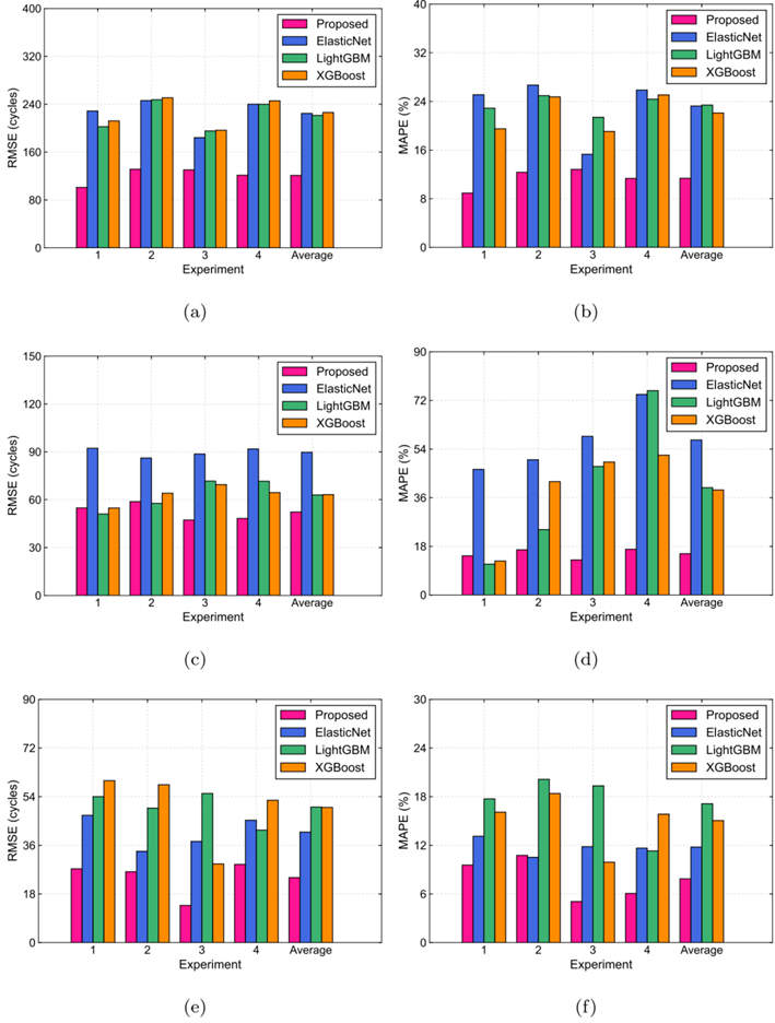
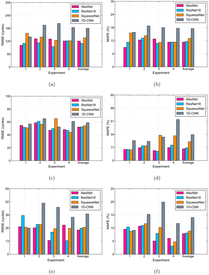
杨恒昭课题组提出了一种基于单循环组合容量曲线的电池超早期寿命预测框架。该框架使用从电池运行超早期阶段(第一或第二个充放电循环)的单循环数据中提取的组合容量曲线预测电池寿命。其中,组合容量曲线定义为充电容量曲线与放电容量曲线之差。该框架首先基于组合容量曲线构建组合容量图像,继而使用AlexNet从组合容量图像中提取特征,从而实现电池超早期寿命预测。使用三个公开数据集对该框架进行了验证,结果显示平均绝对百分比误差(MAPE)分别为11.36%、15.27%和7.86%,证明了该框架在电池超早期寿命预测方面的有效性。该框架降低了电池早期寿命预测方法对多循环数据的依赖,能够实现电池寿命的超早期、快速预测。

图1. 锂离子电池超早期寿命预测框架

图2. 所提出的方法(“Proposed”)与基于特征的方法结果对比:(a)-(b) Severson数据集;
(c)-(d) Zhu数据集;(e)-(f) Wang数据集

图3. 所提出的方法(“AlexNet”)与无特征的方法结果对比:(a)-(b) Severson数据集;
(c)-(d) Zhu数据集;(e)-(f) Wang数据集
该成果以“Ultra-Early Prediction of Lithium-ion Battery Cycle Life Based on Assembled Capacity Curve Extracted from a Single Cycle”为题发表于 Journal of Power Sources 。信息学院2022级硕士研究生杨文进为第一作者,杨恒昭教授为通讯作者。
论文链接:
https://doi.org/10.1016/j.jpowsour.2025.236620



沪公网安备 31011502006855号


